各位考生:
新疆2026年单独招生分类考试已经结束,根据自治区教育考试院《关于做好自治区2026年普通高职(专科)单独招生工作的通知》和《里木职业技术学院2026年高职(专科)单独招生章程》的相关规定,现将单独招生拟录取名单予以公示(附件1),公示时间为2026年4月21日18时至4月25日18时,公示期间,如有疑问请电话咨询,咨询时间为每天上午10:00-13:30,下午16:00-19:30。公示结束后,考生需于4月26日10时至28日18时,登录自治区教育考试院官方网站,进入“新疆高职单招报名”系统,点击“确认录取”,并通过短信验证后,方为确认录取;点击“放弃录取”和未进行操作的考生,均视为放弃本次高职单招录取。需要查询成绩的考生可扫描二维码查询(附件3)。
录取咨询电话:0997-8662266、8662277
投诉举报电话:0997-8662023
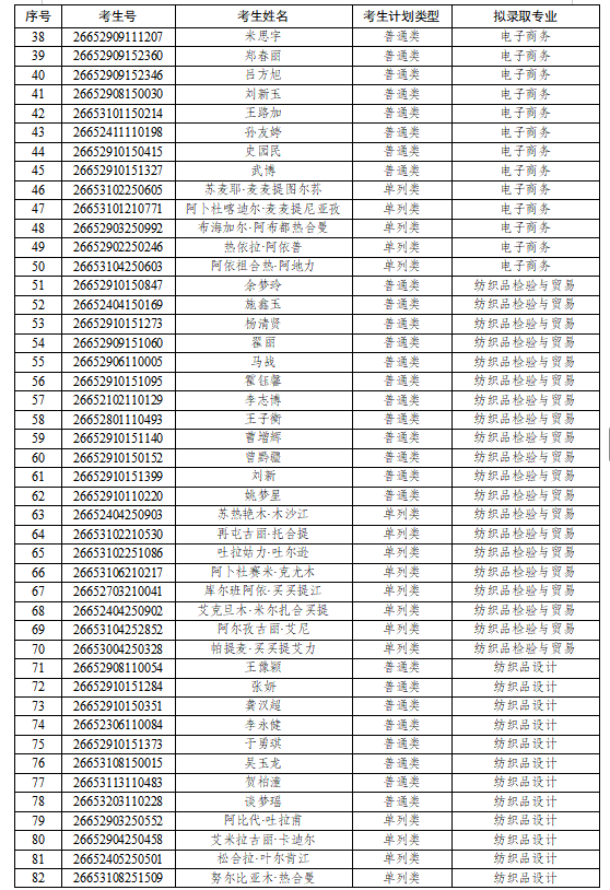
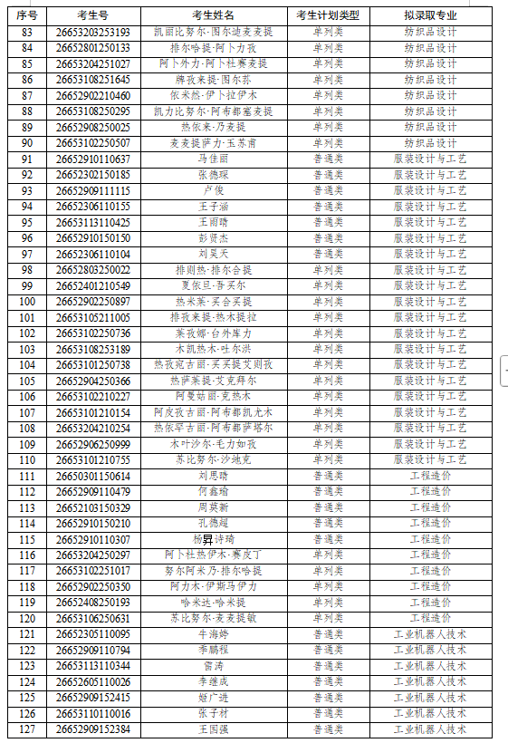
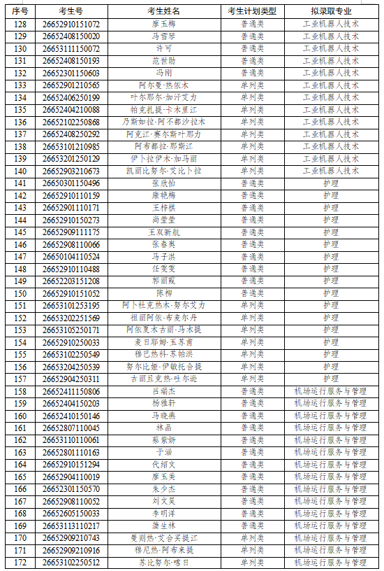
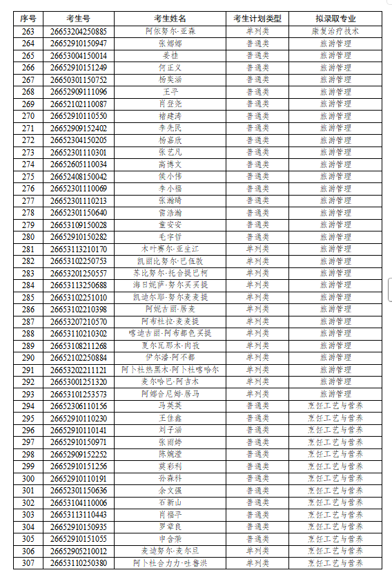
附件:1.塔里木职业技术学院2026年新疆单独招生拟录取名单
2.自愿放弃录取资格申请书
3.2026年新疆单独招生考试成绩查询
塔里木职业技术学院
招生就业处
2026年4月21日











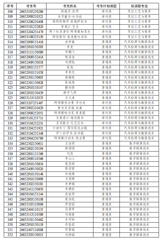
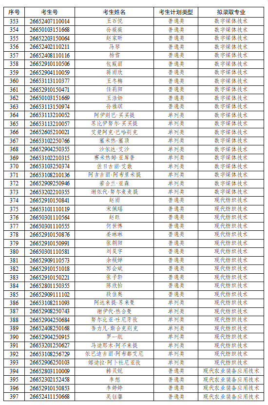
附件1 附件1.塔里木职业技术学院2026年新疆单独招生拟录取名单.docx
附件3
